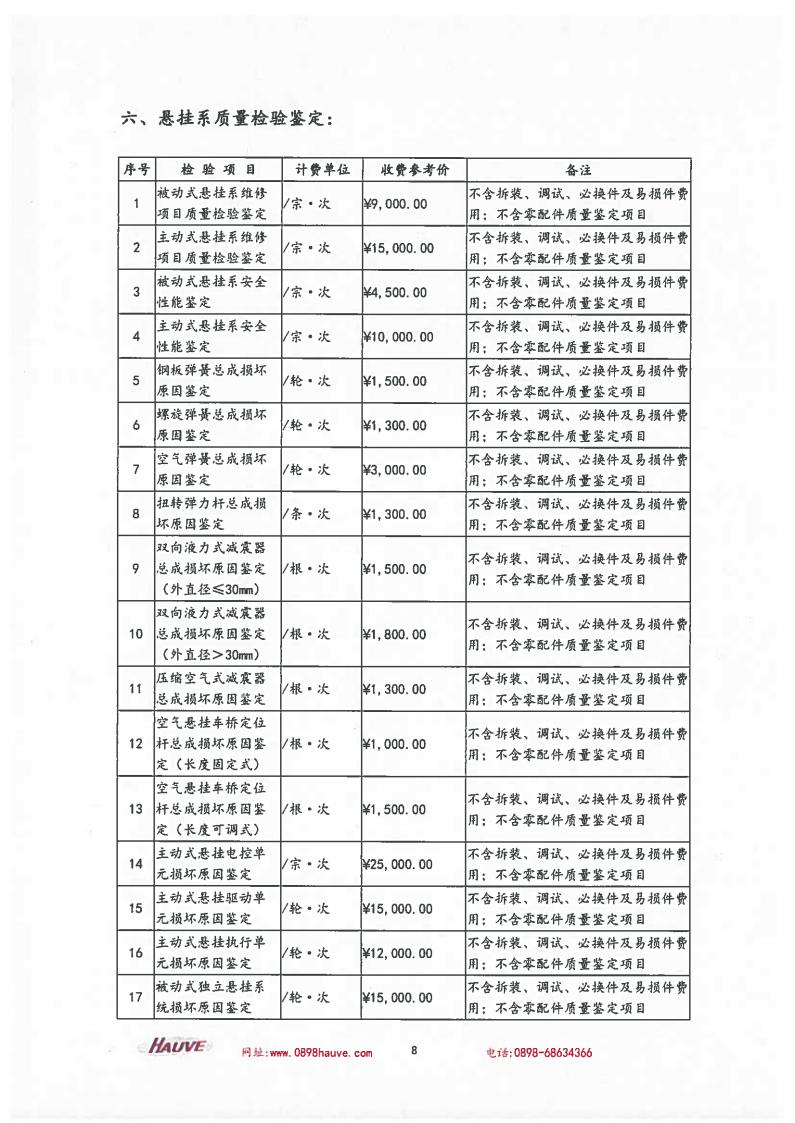
2021年鉴定评估收费参考
2025/9/16 22:23:33 点击:415
- 上一篇:海口高效化解新能源汽车电池维修纠纷,消费者权益与保险赔付实现平衡 2025/9/19
- 下一篇:多元化纠纷解决机制显成效,海南一起机动车交通事故纠纷案获高效化解 2025/9/15
海南省消费者委员会海口市二手车鉴定评估行业协会消费者投诉站
电话:0898-68634766
地址:海口市美兰区琼山大道海南省二手车交易市场办公区域